接續Example-Based Image Color and Tone Style Enhancement – Overview,如何學習色彩和梯度映射關係。
4. Learning Color and Gradient Mappings 學習色彩和梯度映射關係
在這兒呈現他的方法,特徵空間子分割和建立兩個映射關係樹。這兩棵映射關係樹皆使用CIE L* a* b*。
4.3 Learning Mappings for luminance Gradient 學習亮度梯度映射關係
因為沿著邊緣的亮度梯度會重大地影響整體影像的對比,因此是個影像色調風格的重要因素。他更進一步建立第二個二元特徵空間分割樹關聯於亮度梯度,而且訓練一個區域亮度梯度映射關係給樹的每個葉節點。
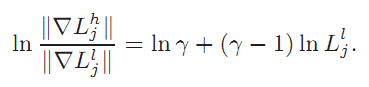
回憶(Pl, Ph)是在訓練影像中相對應的像素對,Ll和Lh是它們在CIE L* a* b*色彩空間的亮度頻道。由於影像對比通常使用伽瑪校正(gamma correction)來調整,他建立一個區域映射關係相對應亮度值(luminance value)和指數律(power law):

兩邊取對數(logarithm)獲得:

他可以很容易驗證式子的右邊只是個線性轉換,因此,不直接估量γ,他一般化式子的關係為泛型線性映射關係,並且藉由最小化最小平方目標函數(least-squares objective function)來解決這線性映射的參數。

α和β是線性映射中的參數,一旦這些參數被解決,亮度梯度映射關係可以公式化為:

Comments on: "[paper] Example-Based Image Color and Tone Style Enhancement – 4.3" (2)
[…] Example-Based Image Color and Tone Style Enhancement – 4.3 […]
讚讚
[…] 4.3 Learning Mappings for luminance Gradient 學習亮度梯度映射關係 […]
讚讚